马拉韦罗(Maraviroc)于2007年8月6日获FDA上市批准,于2007年9月18日通过EMA批准,2008年12月25号通过PMDA批准。该药由辉瑞和葛兰素史克原研,由ViiV health以商品名Selzentry®在美国上市销售。

马拉韦罗能负向别构调节许多人类细胞表面存在的CCR5受体分子。趋化因子受体CCR5是HIV感染必须的协同受体,HIV病毒侵入宿主细胞的过程需要有CCR5受体分子的辅助。马拉韦罗能与CCR5分子结合,阻断HIV蛋白gp120与CCR5受体联合,导致HIV不能进入人体内的巨噬细胞和T细胞。适用于与抗逆转录病毒联合治疗成人的CCR5-向性的HIV-1病毒感染。
人类免疫缺陷病毒(Human Immunodeficiency Virus;HIV),即艾滋病(AIDS),获得性免疫缺陷综合征病毒,是造成人类免疫系统缺陷的一种病毒。1981年,人类免疫缺陷病毒在美国首次发现。它是一种感染人类免疫系统细胞的慢病毒(Lentivirus),属逆转录病毒的一种。
目前有30余种HIV-1药物得到FDA批准,其中17种是逆转录酶抑制剂(包括13种核苷类逆转录酶抑制剂及4种非核苷类逆转录酶抑制剂),11种蛋白酶抑制剂,1种CCR5受体抑制剂(马拉韦罗),1种整合酶抑制剂(raltegravir)以及1种融合抑制剂(T20)。但是没有一种可以完全抑制病毒感染,并且由于HIV-1突变,时常出现耐药性。
HIV的生物学周期可简单分为:入侵宿主细胞,在其内部复制,杀死宿主细胞并释放出后代病毒。HIV需要首先识别并结合宿主细胞表面的受体(分子)才能入侵宿主细胞,研究发现CD4是HIV主要识别的细胞表面受体(分子),后续研究又发现仅有CD4分子并不能介导HIV-1的侵入,同时还需要一种或几种辅助受体。之后证实,趋化因子受体CXCR4和CCR5是HIV-1感染的辅助受体(coreceptor),以CCR5为靶点的HIV-1受体拮抗剂越来越受关注,马拉韦罗就是针对这一靶点的药物。

针对CCR5拮抗剂的药物研究有许多,Ancriviroc是首例进入临床研究的CCR5拮抗剂,临床研究显示在高剂量下会出现明显的心脏副作用(400 mg 每天两次),有趣的是随着对CCR5拮抗剂研究的深入,人们发现hERG是经常出现的副作用,这也导致大量关于CCR5拮抗剂的临床研究被迫停止。之后的研究皆在实现高选择针对CCR5但不引起hERG,Aplaviroc临床实验时发现严重的肝毒性,于2005年被叫停。Vicriviroc由先灵葆雅(2009年被默沙东收购)研发,曾进入临床三期,2010年因某些原因停止对该化合物的研发。

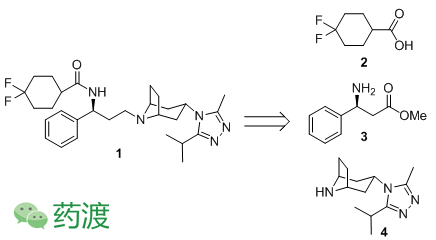
马拉韦罗(分子1),通过逆合成分析将化合物从碳-氮键处断裂,分解为2 (4,4-二氟环己甲酸砌块),3(苯丙胺砌块),4(莨菪烷三氮唑砌块)三个合成砌块。

砌块4的合成路线:起始原料为商品化N-苄基托品酮(5),与羟胺缩合得到肟(6),在钠/戊醇单电子还原条件下得到伯胺7。酰基氯与7在Schotten-Baumann条件下得到酰胺8,之后在三氯氧磷(后期研究发现五氯化二磷效果更好)存在的条件下得到亚胺酰氯,继续与乙酸肼在甲苯为溶剂,对甲苯磺酸(p-TsOH)催化条件下反应生成分子9,最后加氢脱苄基保护基得到分子4。
在药物分子中引入氟原子会改善药物分子的药理学性质,马拉韦罗最初使用DAST作为氟源,二乙胺基三氟化硫(DAST)是一种商品化试剂,该试剂热不稳定,所以存在安全性隐患。10与DAST反应会以1:1的比例得到两种无法分开的分子11和烯基氟化物12,主要是因为DAST与10发生反应很难控制产物选择性。之后改变反应温度,试剂当量,溶剂等反应条件,试图改善产物与副产物比例,但没有成功。
研发人员最终没有更换氟源,所以需要面对的难点在于氟化反应之后副产物12与主产物11极性相似,无法通过常规方法分离。解决方法是让混合物继续反应,在Upjohn条件下反应,目标产物11在该条件不会反应,而12会转化为极性更大的13,通过柱层析就可以分离。11在氢氧化钠(NaOH)条件下经皂化反应,重结晶得到羧酸2。
分子15为商品化试剂(也可以通过外消旋的14用L-酒石酸拆分再Boc保护得到),由15出发使用DIBAL-H(二异丁基氢化铝)作为还原剂,将酯15还原为醛16,但是要严格控制反应温度,避免过度还原。之后经过还原胺化将分子16与4偶联得到分子17,三氟乙酸条件脱Boc保护得到分子18,最后一步是在Carbodiimide polymer(碳二亚胺聚合物)参与的条件下与分子2偶联得到分子1。

在大规模生产之前,首先需要解决的是DAST在生产过程的安全性和再生性问题,并且反应后产物11与副产物12无法分离。最终该氟化过程由一家独立公司完成,并且该公司可以用氟化氢(HF)做为氟源实现大规模生产19。分子19与商品化原料20偶联得到酯21,之后虽然尝试许多还原方法,但均出现过度还原生成醇22的情况,由于这一过度还原问题始终解决不了,所以只能使用还原再氧化的策略,以硼氢化钠(NaBH4)为还原剂得到分子22,2,2,6,6-四甲基哌啶氧化物(TEMPO)作为氧化剂对其氧化得到醛23,最后与4发生还原偶联得到1。同样,整个合成路线的顺序也进行了调整,含氟模块在合成早期就偶联到母核上。
马拉维若已经上市很长一段时间,并且在临床上已经发现耐药病毒。现在的抗艾滋病药物虽然已经能够有效缓解病毒的传播,但是无法做到彻底根治。由于艾滋病病毒本身具有高突变性,能够不断调整,改变与宿主蛋白或信号通路之间的作用,以促进自身的生长和传播,所以临床上经常会出现耐药性问题,而这也是所有抗病毒药物都需面临的挑战。
参考来源:
1. 抗病毒药物——马拉维若(maraviroc)
2. Price,D. A.;Gayton,S; Selby,M. D.;Ahman,J.;Haycock-Lewandowski,S. Synlett2005,7,1133-1134.
3. Price,D. A.;Gayton,S.;Selby,M. D.;Ahman,J.;Haycock-Lewandowski,S.;Stammen,B. L.;Warren,A. Tetrahedron Lett. 2005,46,5005-5007.
4. Perros,M.;Price,D. A.;Stammen,B. L. C; Wood,A. PCT Int. Appl. WO 01/90106,2001.
5. Haycock-Lewandowski,S. J.;Wilder,A.;Ahman,J. Org.Process Res. Dev. 2008,72,1094-1103.
6. Ahman,J.;Birch,M.;Haycock-Lewandowski,S. J.;Long,J.;Wilder,A. Org Process Res. Dev. 2008,12,1104-1113.
7. Dorr,P.;Westby,M.;Dobbs,S.;Griffin,P.;Irvine,BMacartney,M.;Mori,J.;Rickett,G.;Smoth-Burchnell,C;Napier,C;Webster,R.;Armour,;D.;Price,D.;Stammen,B.;Wood,A;Perros,M. Antimicrob. Agents Chemoth. 2005,49,4721-4732.