2020 年美国食品药品监督管理局 (FDA) 批准上市新药 53 个 ,其中化学小分子38个,生物制 品15个,多于2019 年的 48 个。本篇对FDA批准上市的小分子化药及其合成路线进行了盘点:

Vibegron,商品名为Gemtesa,由Urovant Sciences 公司研制,2020 年12 月23 日在美国上市,适用于治疗成人膀胱过度活动症(OAB)。该药物2018 年在日本已经上市,合成路线如下:


Relugolix,商品名Orgovyx, 由Myovant Sciences 公司研制,2020年12月18日在美国上市,适用于治疗前列腺癌晚期的成年患者,其合成路线如下:


Tirbanibulin,商品名Klisyri,由Almirall 公司研制,2020年12月14日在美国上市,适用于面部或头皮光化性角化病的局部治疗,其合成路线如下:


Berotralstat,商品名Orladeyo,由BioCryst Pharmas 公司研制,2020年12月4日在美国上市,适用于预防12 岁及以上儿童和成人患者的遗传性血管性水肿(HAE) 发作,其合成路线如下:


SetIIlelanotide,商品名为Imcivree,由Rhythm Pharmas 公司研制,2020 年11月25日在美国上市,适用于因阿黑皮素原(POMC)、前蛋白转化酶枯草溶菌素1(PCSK1) 或瘦素受体(LEPR) 基因缺陷导致肥胖的成人和儿童( 6 岁以上) 患者的慢性体质量管理。

Lonafamib,商品名为Zokinvy,由Eiger BioPharmas 公司研制,2020 年11月20日在美国上市,适用于治疗12 个月及以上患有早年衰老综合征(HGPS 或早衰症) 和早衰样核纤层蛋白病(PL) 的患者,合成路线如下:


Remdesivir,商品名Veklury,由Gilead Sciences公司研制,2020年5月1日经美国FDA批准 用于紧急治疗COVID-19重症患者,2020年10月22日在美国正式上市,适用于需要住院治疗的COVID-19成人和儿童患者(12岁及以上且体质量至少40 kg);合成路线如下:


Pralsetinib,商品名为Gavreto,由Blueprint Medicines 公司研制,2020 年9月4日在美国上市,适用于治疗转移性RET融合阳性非小细胞肺癌成人患者,合成路线如下:


Clascoterone(皮甾酮-17α-丙酸酯),商品名Winlevi,由Cassiopea SpA 公司研制,2020年8月26日在美国上市,适用于治疗12 岁及以上的寻常性痤疮患者, 合成路线如下:


Oliceridin,商品名为Olinvyk,由Trevena公司研制,2020年8月7日在美国上市,适用于治疗急性疼痛的成人患者,严重到需要静脉注射阿片类镇痛药且替代疗法不足的 急性疼痛。


Risdiplam,商品名为Evrysdi,由基因泰克公司研制,2020年8月7日在美国上市,适用于2 个月及以上患有脊髓性肌萎缩症(SMA) 患者的治疗,合成路线如下:


Nifurtimox,商品名Lampit,由拜耳公司研制,2020 年8月6日在美国上市,本品于20世纪60年代已在阿根廷、智利和巴西等地临床试验,适用于治疗由克氏锥虫引起的查加斯病( 美洲锥虫病) 的儿童患者,合成路线如下:


Abametapir,商品名为Xeglyze,由Dr Reddys Labs 公司研制,2020 年7 月24日在美国上市,适用于头部遭虱子侵扰6 个月及以上患者的局部治疗,合成路线如下:


Edazuridine,地西他滨(decitabine)/cedazuridin组成的复方制剂,商品名为Inqovi,2020年7月7日在美国上市,适用于治疗骨髓增生异常综合征(MDS)的成年患者,合成路线如下:


Fostemsavir,商品名为Rukobia,由ⅥiV Healthcare公司研制,2020年7月2日在美国上市,适用于因耐药、不耐受或安全考虑而 无法形成病毒抑制方案,并且先前已接受过多种方 案治疗的多重耐药人类免疫缺陷病毒 1 型 (HIV-1) 成人感染者的治疗,合成路线如下:


Remimazolam (瑞米唑仑),商品名为Byfavo,由Acacia Pharmas公司研制,2020 年7 月2 日在美国上市,江苏恒瑞2019 年以商品名瑞倍宁在中国上市,用于诱导和维持接受医疗程序( 时长30min以内) 的成人患者在医疗程序过程中的镇静,合成路线如下:


Triheptanoin (甘油三庚酸酯),商品名Dojolvi,由Ultragenyx Pharmas 公司研制,2020年6月30日在美国上市,适用于治疗长链脂肪酸氧化代谢障碍
(LC-FAOD) 的儿童和成人患者,合成路线如下:


Lurbinectedin,商品名为Zepzelca,由Jazz Pharmas 公司研制,2020 年 6 月15日在美国上市,适用于治疗铂类化疗后疾病进展的转 移性小细胞肺癌 (SCLC) 成年患者,合成路线如下:


Flortaucipir F18,商品名为Tauvid,由Avid Radiopharmas 公司研制,2020年5月28日在美国上市,本品是一种放射性诊断剂,适用于大脑的PET 成像,评估阿尔茨海默病患者中聚集的蛋白Tau 神经原纤维缠结的密度和分布,合成路线如下:


Artesunate(青蒿琥酯 ),商品名为Artesunate,由Amivas公司研制,2020年5月26日在美国上市,1987年已在中国上市,可用于患重症疟疾成人和儿童患者的初始治疗,合成路线如下:


Fluoroestrdiol F18,商品名为Cerianna,由Zionexa 公司研制,2020 年5月20日在美国上市,是一种放射性诊断试剂,与正电子发射断层扫描(PET) 成像共用,可检测雌激素受体(ER) 阳性病变,作为复发或转移性乳腺癌患者活检的辅助手段。


Ripretinib,商品名为Qinlock,由Deciphem Phamas公司研制,适用于治疗己接受3种及以上激酶抑 制剂(包括伊马替尼)治疗过的晚期GIST成人患者,合成路线如下:


Selpercatinib,商品名为Retevmo,由Loxo Oncology 公司研制,2020 年 5月8日在美国上市,适用于治疗成人转移性 RET(ret protooncogene) 融合阳性的非小细胞肺癌 (NSCLC) ;需要系统治疗的成人及 12 岁以上儿科晚期或转移性 RET 突变阳性甲状腺髓样癌患者 ;需要全身治疗而 且放射碘治疗抵抗的晚期或转移性RET融合阳性甲状腺癌成人和12岁以上儿童患者,合成路线如下:


Capmatinib, 商品名为Tabrecta,由诺华公司研制,适用于治疗转移性非小细胞肺癌的成年患者,其合成路线如下:


Opicapone,商品名为Ongentys,由Neurocrine 公司研制,2020年4月24日在美国上市,2016 年已在英国和德国上市,作为左旋多巴/ 卡比多巴的辅助疗法,治疗经历“关闭”期的帕金森病患者,合成路线如下:


Pemigatinib,商品名为Pemazyre,由Incyte 公司研制,2020 年4月17日在美国上市,可用于治疗既往接受过治疗、携带成 纤维细胞生长因子受体 2(FGFR2) 融合或重排且不 能手术切除的局部晚期或转移性胆管癌成人患者,其合成路线如下:


Tucatinib,商 品名 Tukysa,由Seattle Genetics 公司研制,2020 年 4 月 17日在美国上市。与化疗药物曲土珠单抗 (trastuzumab) 和卡培他滨 ( capecitabine) 联合用药,用于治疗不可切除性或转移性晚期人表皮生长因子受体-2(HER2) 阳性乳腺癌,适用于此前已经采用至少一 种药物进行过治疗但无效的成年患者,其合成路线如下:


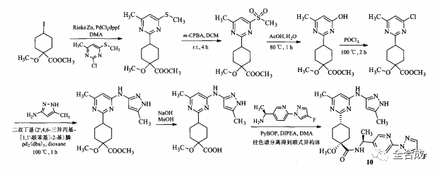
Selumetinib,商品名为Koselugo,由阿斯利康制药公司研制,2020 年 4 月 10 日在美国上市,适用于治疗 2 岁及以上患有1型神经纤维瘤且有症状并无法手术的丛状神经纤维瘤的儿童患者,其合成路线如下:


Ozanimod,商品名为Zeposia,由Celgene 公司研制,2020 年3月25日在美国上市,适用于成人复发型多发性硬化症的治疗,包括临床孤立的综合征、复发型疾病和活动性继发进行性疾病,合成路线如下:


Osilodrostat,商品名Isturisa,由Recordati Rare Disease公司研制,2020 年3 月6 日在美国上市,适用于不能进行垂体手术或尚未治愈的成人库欣综合征患者,合成路线如下:


Rimegepant,商品名为Nunec ODT,由Biohaven Phannas公司研制,2020年2月27日在美国上市,用于成人伴有或不伴有先兆的急性偏头痛的治疗,合成路线如下:


Amisulpride(氨磺必利),商品名Barhemsys,由Acacia Pharmas 公司研制,2020 年2 月26 日在美国上市,用于预防和治疗成人术后恶心呕吐(PONV) 患者。1986 年已在葡萄牙上市,用于口服治疗急性和慢性精神分裂症,合成路线如下:


Bempedoic acid,商品名为 Nexletol,由Esperion Therapeutics公司研制,2020年2月21日在美国上市,用于治疗杂合体家族性高胆固醇血症成年患者,或者需要进一步降低低密度脂蛋白胆固醇 (LDL-C)动脉粥样硬化性心血管疾病的成年患者,合成路线如下:


Lactitol(乳糖醇),商品名为 Pizensy,由Braintree Labs公司研制,2020 年 2 月 12 日在美国上市,1998 年已在日本上市,用于治疗成人慢性特发性便秘 (CIC) 患者,合成路线如下:


Tazemetostat,商品名为Tazverik,由Epizyme 公司研制,2020 年1月23日在美国上市,用于治疗不适合完全切除的转移性或局部上皮样肉瘤晚期16 岁及以上患者,其合成路线如下:


Avapritinib,商品名为Ayvakit,由Blueprint Medicines 公司研制,2020年1月9日在美国上市,用于治疗成人不能切除或转移性胃肠道间质瘤 (GIST),其合成路线如下:
