2022年美国食品药品监督管理局(美国FDA)经过药物评估和研究中心(Center for Drug Evaluation and Research,CDER)审评共批准23个新分子实体(New Molecular Entity,NME)上市(按新药上市许可申请(NDA)统计)。这23个新分子实体种包括17个小分子药物、1个RNAi药物、1种核放射配体疗法,2个多肽,2个造影剂。药物详细信息见下表。
| 序号 | 药品通用名称① | 申请人 | 批准日期 | 适应症 | 靶点/作用机制 | 
| 1 | 盐酸达利多雷生片Daridorexant hydrochloride | IDORSIA | 2022.01.07 | 成人失眠症 | 双重食欲素受体拮抗剂 | 
| 2 | 阿布昔替尼片/Abrocitinib | 辉瑞 | 2022.01.14 | 特应性皮炎 | JAK1 | 
| 3 | 硫酸Mitapivat片 | Agios | 2022.02.17 | 丙酮酸激酶缺乏引起的成人溶血性贫血 | 丙酮酸激酶 | 
| 4 | 枸橼酸帕瑞替尼胶囊/Pacritinib citrate | CTI BioPharma | 2022.02.28 | 骨髓纤维化 | CDK2/CFS1R /FLT3/IRAK1/JAK2 | 
| 5 | 加奈索/Ganaxolone | Marinus | 2022.03.18 | 癫痫发作 | GABAA受体 | 
| 6 | 镥177-PSMA-617 | Endocyte | 2022.03.23 | 前列腺癌 | 前列腺特异性膜抗原(PSMA) | 
| 7 | 奥特康唑/Oteseconazole | Mycovia | 2022.04.26 | 外阴阴道念珠菌病 | CYP51 | 
| 8 | Mavacamten胶囊 | BMS | 2022.04.28 | 肥厚型心肌病 | Cardiac myosin | 
| 9 | 复方阿莫西林+克拉霉素+富马酸伏诺拉生胶囊/片 | Phathom | 2022.05.03 | 幽门螺杆菌感染 | 钾离子竞争性酸阻滞剂 | 
| 10 | Tirzepatide注射液 | 礼来 | 2022.05.13 | 2型糖尿病 | GIP和GLP-1受体 | 
| 11 | 本维莫德乳膏/Tapinarof | Dermavant | 2022.05.23 | 斑块状银屑病 | AHR/Cytokine受体 | 
| 12 | Vutrisiran注射液 |   Alnylam | 2022.06.13 | 遗传性淀粉样多发性神经病 | TTR | 
| 13 | Deucravacitinib片 | BMS | 2022.09.09 | 银屑病 | TYK2 | 
| 14 | 注射用特利加压素/Terlipressin Acetate | Mallinckrodt | 2022.09.14 | 肝肾综合征 | AVPR | 
| 15 | Gadopiclenol注射液 |   Guerbet | 2022.09.21 | 磁共振成像造影剂 | 钆基造影剂 | 
| 16 | 异丙基欧米德尼培滴眼液/omidenepag isopropyl | Santen | 2022.09.22 | 眼压高 | PTGER2 | 
| 17 | 苯丁酸钠和牛磺熊去氧胆酸钠口服散剂 | Amylyx | 2022.09.29 | 治疗成人肌萎缩性脊髓侧索硬化症(ALS) | GPBAR1/HDAC | 
| 18 | Futibatinib片 | Taiho | 2022.09.30 | 成人肝内胆管癌 | FGFR1/2/3/4 | 
| 19 | Olutasidenib胶囊 | FORMA therapeutics | 2022.12.01 | 具有敏感的异柠檬酸脱氢酶-1突变的复发或难治性急性髓系成人患者白血病 | 异柠檬酸脱氢酶-1选择性抑制剂 | 
| 20 | 阿达格拉西布片(Adagrasib片) | MIRATI therapeutics | 2022.12.12 | KRAS G12C突变局部晚期或转移性非小细胞肺癌且至少接受过一次先前治疗成年患者 | 高度特异性的口服KRAS G12C抑制剂 | 
| 21 | Lenacapavir钠注射液 | 吉利德 | 2022.12.22 | 与其他抗逆转录病毒药物联合用于治疗因耐药性、不耐受或安全考虑而未能接受当前抗逆转录病毒治疗方案的重度治疗经验成人的HIV-1感染 | 衣壳抑制剂 | 
| 22 | Lenacapavir钠片 | 吉利德 | 2022.12.22 | 适应症与注射液相同 | 衣壳抑制剂 | 
| 23 | 氙气Xe129气体混合物 | POLAREAN INC | 2022.12.23 | 用于磁共振成像时使用,以评估12岁及以上儿童和成人的肺通气 | 同位素造影剂 | 
备注:①上述药物的中文通用名尚未经过药典委核准,最终名称以药典委核准结果为准。盐酸达利多雷生片/Daridorexant hydrochloride
FDA于2022年1月7日批准Idorsia公司自主研发的盐酸达利多雷生(Daridorexant hydrochloride)片上市许可,商品名:Quviviq。该药物用于治疗成年失眠症患者,其特点是入睡困难和/或睡眠维持困难。其活性成分Daridorexant是双重食欲素受体拮抗剂(DORA)。2022年4月欧盟委员会批准该药品上市。


阿布昔替尼是一种Janus激酶(JAK)1抑制剂。该药品2021年9月12日首次在欧盟上市,2021年9月27日于日本上市,2022年1月14日通过优先审评于美国上市(商品名:Cibinqo),2022年4月13日于中国上市(商品名:希必可)。该药物用于对其他系统治疗(如激素或生物制剂)应答不佳或不适宜上述治疗的难治性、中重度特应性皮炎成人患者。

合成工艺路线:Org. Process Res. Dev. 2021, 25,608-615。
FDA于2022年2月17日批准Agios公司自主研发的Mitapivat sulfate片上市,商品名:Pyrukynd。该药品是罕见病药,用于治疗丙酮酸激酶 (PK) 缺乏症引起的成人溶血性贫血。本药物是一种首创的口服PK激活剂,也是第一种治疗PK缺乏症的修正疗法。欧盟委员会于2022年11月批准该药品上市。

CAS号:硫酸盐:2151847-10-6;游离碱:1260075-17-9路线1:WO2019104134 A1/CN111372920 A

路线2:WO2011002817A1/CN102481300B

- 路线1:本路线为汇聚式工艺路线,化合物1、2经历3步,化合物5、6经历2步化学转化制备得到目标产物化合物8。本工艺路线较短,反应条件温和,总路线收率较高,工业化前景良好。
- 路线2:本路线为线性工艺路线,化合物F的纯化使用了柱层析工艺,结合其它反应步骤,本路线总收率较低,不适合工业化。
 
FDA于2022年2月28日批准CTI BioPharma公司开发的枸橼酸帕瑞替尼(Pacritinib citrate)胶囊上市,商品名:Vonjo,本药品用于治疗血小板计数低于50×109/L的中度或高危原发性或继发性骨髓纤维化成人患者。本药物是一种口服JAK激酶抑制剂,具有针对野生型Janus相关激酶2 (JAK2)、突变型JAK2 V617F形式和FMS样酪氨酸激酶3 (FLT3)的活性。
CAS号:枸橼酸帕瑞替尼1228923-42-9;帕瑞替尼游离碱937272-79-2。路线1:WO2007058627A1;Chinese Journal of Pharmaceuticals 2015,46(12);J Med Chem.2011 Jul 14;54(13),4638-4658


- 路线1:本路线中,化合物7经3步、化合物2经5步化学转化制备得到目标产物化合物1。以化合物2计算,本路线总收率约24%,其中有两步化学反应使用了昂贵的过渡金属催化剂;此外工艺路线最后两步均使用了柱层析工艺来纯化目标产物,使得本路线难以工业化放大,成本较高。
- 路线2:本路线中,化合物1经历3步、化合物3经历4步化学转化制备得到目标产物化合物I。以化合物3计算,本路线总收率约31%。本路线为汇聚式路线,总反应路线较短,工艺中未使用过渡金属催化剂,无柱层析纯化工序,优于其他工艺路线。
- 路线3:本路线是在路线1的基础上的进一步优化。本路线中,化合物F和G经5步化学转化得到目标产物化合物I。化合物E经更加温和、简单的威廉姆森醚化反应进行成环,反应条件温和,不需要使用贵金属催化剂以及氮气保护,产物不存在顺式构型,分离纯化更加方便。此外本工艺路线中的两种反应原料(化合物1和2)价格便宜,更适合工业化生产。
FDA于2022年3月18日批准Marinus公司开发的加奈索酮(Ganaxolone)口服混悬液通过优先审评获得上市许可,商品名:Ztalmy。该药物用于治疗2岁及以上患者与细胞周期蛋白依赖性激酶样5(CDKL5)缺乏症(CDD)相关的癫痫发作。该药物是一种神经活性类固醇,作为GABAA受体的正向变构调节剂(positive allosteric modulators,PAM)发挥作用。

路线1:J. Med. Chem. 1997, 40, 1, 61–72
路线3:US5319115A、中国新药杂质,2005,14(8),1025-1026;

- 路线1:在氧化前保护3α-羟基-5α-孕烷-20-酮的C-20位的羰基,再与有机金属甲基化试剂在3位反应以引入3β-甲基,随后水解C-20位上的缩酮。该路线在整个合成中增加了至少两个额外步骤,即先保护C20位羰基,在引入3β-甲基后移除保护基。此外更重要的是,立体选择性相当弱,导致得到几乎等量的3α和3β异构体,这增加了合成的成本和复杂性并且降低了该过程的总产率。
- 路线2:本路线的区域选择性和立体选择性良好,经1步化学反应即可制得目标产物,产率较高,有较高的工业化应用前景。
- 路线3:本路线中环氧化物在多种条件下被还原(包括用碘化钾对环氧化物进行亲核开环并且所得的碘化物经加氢还原)得到加奈索酮。此步骤需要中间体环氧化物的分离和纯化以及许多操控和昂贵的加氢步骤,增加了生产成本和生产周期。此外,本路线中的工艺杂质往往使得产品中杂质>0.1%,有关物质合格的难度较大。
FDA于2022年3月23日批准 Endocyte公司(诺华子公司)开发的镥177-PSMA-617注射液通过优先审评获得上市许可,商品名:Pluvicto。本药物用于治疗已接受雄激素受体(AR)通路抑制和紫杉烷类化疗的前列腺特异性膜抗原(PSMA)阳性、转移性去势、抵抗性前列腺癌(mCRPC)成人患者。Pluvicto是FDA批准的首个用于治疗这类mCRPC患者的放射性配体靶向疗法。欧盟委员会于2022年12月批准该药品上市。
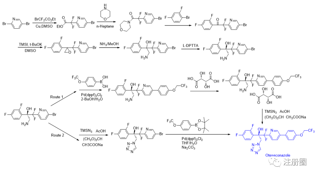
CAS号:1703749-62-5。FDA全球化合物注册系统曾用CAS号:1983157-55-6。FDA于2022年4月26日批准Mycovia公司自主研发的奥特康唑(Oteseconazole)胶囊通过优先审评获得上市许可,商品名:Vivjoa,本药物用于降低有复发性外阴阴道念珠菌病(RVVC)病史且无生殖潜力的女性的RVVC发病率。本药物是一款新型的真菌CYP51口服抑制剂,是美国FDA批准的第一个针对复发性外阴阴道念珠菌病的药物。恒瑞医药与Mycovia公司达成合作,于2019年6月获得了Vivjoa在大中华区开发和商业化的独家权益。2022年1月,奥特康唑胶囊在中国申请上市许可。

FDA于2022年4月28日批准MyoKardia公司(已被百时美施贵宝公司收购)自主研发的Mavacamten胶囊上市,商品名:Camzyos。本药物用于治疗纽约心脏病协会心功能分级为II-III级的有症状梗阻性肥厚型心肌病成人患者以改善功能和症状。本药物是一种心肌肌球蛋白选择性的别构可逆性抑制剂,将整体肌球蛋白群转变到节能、可募集的超松弛状态。

合成工艺路线:CN105473576 B、CN109384729 A
FDA于2022年5月3日批准Phathom公司的Voquezna dual pak胶囊/片通过优先审评获得上市许可。本药物用于成人幽门螺杆菌感染。这是阿莫西林(Amoxicillin)、 克拉霉素(Clarithromycin)、富马酸伏诺拉生(Vonoprazan Fumarate)的三重复方组合。伏诺拉生半衰期长,作用时间更持久,因此被视为有效的长效质子泵抑制剂(PPI),其单方制剂最早2014年12月在日本批准上市许可。此前,美国FDA已授予伏诺拉生三联以及与阿莫西林双联组合疗法合格传染病产品资格和快速通道资格,用于治疗幽门螺杆菌感染。
FDA于2022年5月13日批准礼来公司自主研发的Tirzepatide皮下注射液通过优先审评获得上市许可,商品名:Mounjaro。本药物用于改善成人2型糖尿病患者的血糖控制。这是一个多肽药物,是首个葡萄糖依赖性促胰岛素多肽(GIP)和胰高血糖素样肽-1(GLP-1)受体双重激动剂。2022年9月,欧盟委员会批准该药品上市许可。

 本维莫德(benvitimod)乳膏/ Tapinarof
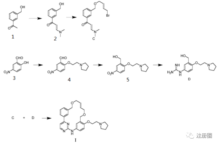
FDA于2022年5月23日批准Dermavant公司开发的本维莫德(benvitimod)乳膏获得上市许可,商品名:Vtama,其中药用活性成分的英文名称为:Tapinarof。本药物是一种first-in-class的芳香烃受体调节剂(TAMA),用于成人斑块状银屑病的局部治疗,最初由Welichem Biotech公司进行研发。2019年5月,广东中昊药业、北京文丰天济医药和深圳天济药业作为新药证书持有者共同获得由中国NMPA核准签发的国家1类新药本维莫德乳膏《新药证书》和《药品注册批件》(商品名:欣比克),用于适合局部治疗的成人轻至中度稳定性寻常型银屑病,这是本维莫德乳膏全球首次获批。
合成工艺路线:J. Med. Chem. 2021, 64, 7, 3604–3657。
FDA于2022年6月13日批准Alnylam公司自主研发的Vutrisiran皮下注射液获得上市许可,商品名:Amvuttra。本药物用于治疗成人遗传性转甲状腺素蛋白介导的淀粉样变性的多发性神经病。这是一种靶向转甲状腺素蛋白基因的RNA干扰(RNAi)药物,靶向沉默(target and silence)特定的mRNA,在突变型和野生型转甲状腺素(TTR)制造出来之前进行阻断,减少TTR淀粉样蛋白在组织中的沉积,促进组织中沉积的TTR淀粉样蛋白的清除,并恢复这些组织的功能。该药物仅需每3个月皮下注射一次,大大降低了给药频率。2022年9月,欧盟委员会批准该药品上市许可。

FDA于2022年9月9日批准百时美施贵宝公司自主研发的Deucravacitinib片获得上市许可,商品名:Sotyktu。本药物是全球首个口服高选择性酪氨酸激酶2(TYK2)变构抑制剂,用于治疗适合全身治疗或光疗的成人中度至重度斑块状银屑病,支持每日一片的全身治疗方案。该新药在改善皮肤清除方面优于安慰剂和每日两次的Otezla(apremilast片,PDE-4抑制剂)。
合成工艺路线:Org. Process Res. Dev. 2022, 26, 4, 1202–1222




FDA于2022年9月14日批准Mallinckrodt公司的注射用特利加压素(Terlipressin)通过优先审评获得上市许可,商品名:Terlivaz。特利加压素是一种合成的12个氨基酸的加压素类似物,是全球首个获FDA批准用于改善伴肾功能快速降低的肝肾综合征成人患者的肾功能。该药品获得罕见病药认定,最初由Ferring公司开发,经过多次授权转让Mallinckrodt公司获得了澳大利亚和北美的权利。
CAS号:14636-12-5。
FDA于2022年9月21日批准Guerbet公司自主研发的Gadopiclenol注射液通过优先审评获得上市许可,商品名:Elucirem。本药物用于在成人和2岁及以上儿童在采用核磁共振成像(MRI)探测和观看中枢神经系统(大脑、脊柱和相关组织)和身体(头颈、胸部、腹部、骨盆、和肌肉骨骼系统)具有异常血管特性的病变时使用。本药物是一种钆基造影剂。


  
异丙基欧米德尼培滴眼液/omidenepag isopropyl
FDA于2022年9月22日批准参天公司研发的异丙基欧米德尼培(omidenepag isopropyl)滴眼液获得上市许可,商品名:Omlonti。本药物是一个选择性前列腺素E2受体2(EP2/PGE2)激动剂,用于降低开角型青光眼或高眼压症患者升高的眼压(IOP)。这种作用机制特殊的降眼压药品最早2018年11月在日本获批上市,商品名为Eybelis。原研是韩国的Ube Industries公司。
合成工艺路线:WO2015190507A1、WO2010113957 A1
FDA于2022年9月29日批准Amylyx Pharmaceuticals公司自主研发的苯丁酸钠和牛磺熊去氧胆酸钠口服散剂通过优先审评获得上市许可,商品名:Relyvrio。本药物用于治疗成人肌萎缩性脊髓侧索硬化症(ALS,俗称:渐冻症)。该药品获得罕见病药认定,目前作用机制不明确,但认为这两种药物联用的协同效应能够减少神经细胞因为氧化应激而产生的死亡。


FDA于2022年9月30日批准Taiho公司(大冢制药子公司)自主研发的Futibatinib片通过优先审评获得上市许可,商品名:Lytgobi。本药物用于治疗携带成纤维细胞生长因子受体2(FGFR2)基因融合或其他重排的既往治疗过的、不可切除的、局部晚期的或转移性的成人肝内胆管癌患者。该药品曾获得美国FDA突破性疗法和罕见病药认定。已上市的替尼类药品中,盐酸安罗替尼、厄达替尼、英菲替尼、乐伐替尼、帕唑帕尼、佩米替尼、普纳替尼、索凡替尼均为FGFR抑制剂化学药。
合成工艺路线:CN113260618A、CN103958512B、CN106146511 AFDA于2022年12月01日批准Forma Therapeutics公司(现为诺和诺德公司)自主研发的Olutasidenib胶囊获得上市许可,商品名:Rezlidhia。本药物是一个口服选择性小分子药物,可选择性结合并抑制突变的IDH1酶,从而用于治疗具有敏感的异柠檬酸脱氢酶-1(IDH1)突变的复发或难治性急性髓系成人患者白血病(AML)。目前仍有骨髓增生异常综合征(MDS)、慢性粒单核细胞白血病(CMML)、骨髓增殖性肿瘤(MPN)在进行临床试验研究。

合成工艺路线:Journal of Medicinal Chemistry, 2020, vol. 63, # 4, p. 1612 – 1623

FDA于2022年12月01日批准Mirati Therapeutics公司自主研发的阿达格拉西布(Adagrasib)片获得上市许可,商品名:Krazati。本药物是一个口服G12C突变选择性KRAS抑制剂,用于治疗测试确定的KRAS G12C突变局部晚期或转移性非小细胞肺癌(NSCLC),且至少接受过一次先前治疗的成年患者。目前本药物正在国内开展多西他赛阳性对照的适应症为非小细胞肺癌的Ⅲ期临床试验,以及适应症为晚期实体瘤的Ⅰ期临床试验。
合成工艺路线:J. Med. Chem. 2020, 63, 13, 6679–6693
FDA于2022年12月22日批准吉利德公司自主研发的lenacapavir钠注射液通过优先审评获得上市许可,商品名:Sunlenca。本药物用于与其他抗逆转录病毒药物联合用于治疗因耐药性、不耐受或安全考虑而未能接受当前抗逆转录病毒治疗方案的重度治疗经验成人的人类免疫缺陷病毒1型(HIV-1)感染。lenacapavir每6个月皮下注射一次并与其他抗逆转录病毒药物联合使用,可在当前治疗无效的HIV患者中实现较高的病毒抑制率。2022年8月17日,欧盟委员会首次批准该药品上市许可。




吉利德公司自主研发的lenacapavir钠片于2022年12月22日通过FDA优先审评获批上市,商品名:Sunlenca。其适应症与注射液剂型相同,口服剂型用于初始给药方案,注射液剂型用于初始和维持给药方案。
FDA于2022年12月23日批准Polarean inc公司自主研发的氙气Xe129气体混合物获得上市许可,商品名:Xenoview。本药物是一个超极化造影剂,在磁共振成像(MRI)时使用,以评估12岁及以上儿童和成人的肺通气。