2022年FDA批准的15个小分子:临床用途及其合成

2023-05-16 10:53:59 hanhong




本文列举了2022年批准用于临床的小分子药物,按照批准日期的时间顺序列出。

值得关注的是,获批的分子中有4个包含磺胺官能团,1个是大环,2个是甾体结构。两种放射性同位素/造影剂和一种含氘药物获得批准。后者代表了未来药物发现工作的一个创新的起点。卤素(主要是氯化和氟化)药物在获批药物中的比例仍然保持一致,这凸显了卤素在药物发现中的重要性。除了两种具有类固醇结构的药物外,所有结构都至少含有一个芳环



01
Daridorexant

daridorexant(商品名Quviviq®)于2022年1月7日获得批准并由 Idorsia US 推出,是一种 1,2,3-三唑衍生物,预计到 2026 年全球销售额为 10.52 亿美元。据推测,其治疗失眠的作用机制是通过拮抗食欲素受体。食欲素神经肽信号系统在清醒中发挥作用。合成路线如下,可进行千克规模制备。

图片
02
Abrocitinib
abrocitinib(商品名 Cibinqo®)于2022年1月14日获得批准,是一种选择性 JAK1抑制剂,可有效且安全地治疗特应性皮炎(AD),具有良好的口服生物利用度以及缺乏免疫原性,解决目前可用的生物药物的一些局限性。预计2026年全球销售额预测为7.6亿美元。Abrocitinib 由辉瑞公司开发,用于治疗中度至重度AD患者。合成路线如下:
图片
03
Mitapivat
mitapivat(商品名Pyrukynd®)于2022年2月17日获得批准,由Agios Pharmaceuticals 开发,被批准用于治疗遗传性溶血性贫血。预计2026年全球销售额预测为5.11亿美元。该分子是丙酮酸激酶的变构激活剂,分子中包含磺酰胺。合成路线如下:
图片
04
Pacritinib
Pacritinib(商品名 Vonjo®)于2022 年2月28日获准用于治疗血小板减少的成人高危原发性或继发性骨髓纤维化。由 S*BIO Pte Ltd.(新加坡)发现并合成,它是一种JAK2抑制剂,预计 2026年的销售额为 4.96 亿美元。合成路线如下:
图片
05
Ganaxolone
Ganaxolone(商品名 Ztalmy®)于2022年3月18日获得批准,用于治疗细胞周期蛋白依赖性激酶样5(CDKL5)缺陷症的癫痫发作。Ganaxolone 的作用机制尚不清楚。很可能它调节(正变构调节剂)突触和突触外 GABAA 受体以使过度兴奋的神经元正常化。预计2026年全球销售额预测为4.34亿美元。合成路线如下:
图片
06
Lutetium (177Lu) Vipivotide Tetraxetan
Lutetium(177Lu) vipivotide tetraxetan(商品名 Pluvicto®)是一种基于尿素的前列腺特异性膜抗原 (PSMA) 抑制剂。预计2026年全球销售额预测为8.51亿美元。作用机制源于Lutetium 177,它向表达PSMA的细胞传递其β负发射。它由Advanced Accelerator Applications 开发,已于2022年3月23日获批用于治疗其他疗法失败的前列腺特异性膜抗原阳性转移性去势抵抗性前列腺癌。其结构由 PSMA-617 组成,PSMA-617是一种人类前列腺特异性膜抗原 (PSMA) 靶向配体,与发射β的放射性同位素Lu 177结合。合成路线如下:
图片
07
Oteseconazole
抗真菌药物oteseconazole(商品名 Vivjoa®)于2022年4月26日获得批准,用于降低有外阴阴道念珠菌病病史且无生殖潜力的女性的复发发病率。它由 Mycovia Pharmaceuticals推出,是一种基于四唑的化合物,可抑制CYP51酶,从而导致真菌破坏。合成路线如下:
图片
08
Mavacamten
Mavacamten(商品名Camzyos®)于2022年4月28日获批用于治疗某些类别的梗阻性肥厚性心肌病。它是由MyoKardia开发的一种口服活性心肌肌球蛋白抑制剂。预计2028年全球销售额预测为16.58亿美元。合成路线如下:
图片
09
Vonoprazan (in Combination with Amoxicillin, and Clarithromycin)
Vonoprazam(与阿莫西林和克拉霉素联用,商品名Voquezna®)于2022年5月3日获批用于治疗幽门螺杆菌感染。预计2028年全球销售额预测为8.69亿美元。它由Takeda推出,是一种口服生物可利用的钾竞争性酸阻滞剂 (P-CAB)。P-CAB 通过与管腔表面的 K+ 竞争可逆地抑制胃酸分泌,从而阻止胃酸分泌。胃分泌的抑制与阿莫西林和克拉霉素的抗菌活性相结合,使Voquezna® 成为具有协同活性的“组合”。合成路线如下:
图片
10
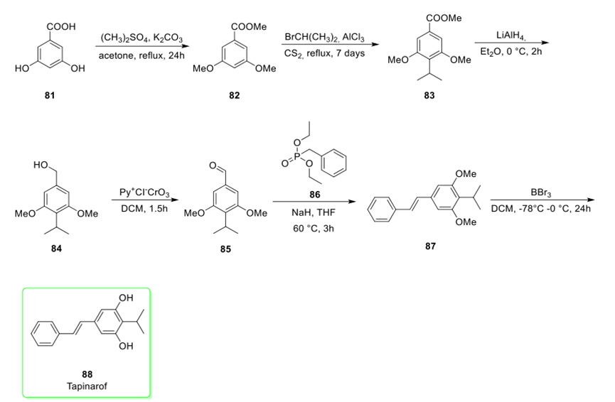
Tapinarof
Tapinarof(商品名Vtama®)于2022年5月23日获批用于治疗斑块状银屑病。它是一种芳烃受体 (AhR) 激动剂,由 Dermavant Sciences Inc.开发。它是一种天然衍生的小分子,由昆虫病原线虫的细菌共生体产生。合成路线如下:
图片
11
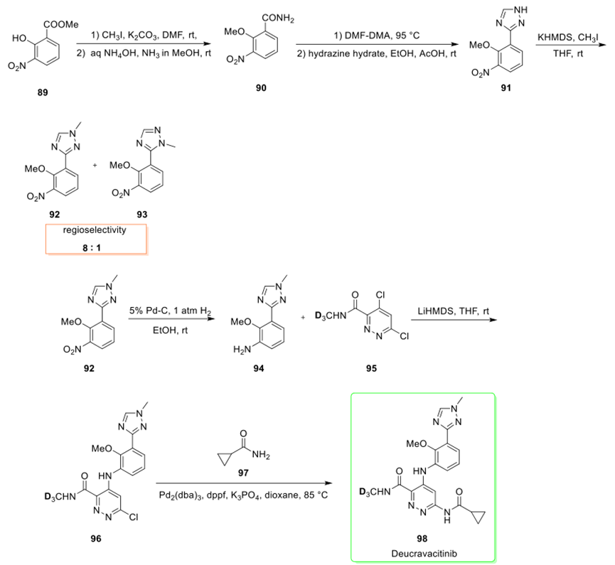
Deucravacitinib
Deucravacitinib(商品名 Sotyktu®)于2022年9月9日获批,与tapinarof一样用于治疗斑块状银屑病。预计2026年全球销售额预测为11.2亿美元。它是由Bristol Meyers Squibb推出的一种氘化药物,它选择性地靶向TYK2。作者说,氘的引入提高了代谢稳定性。代谢稳定性是一个需要考虑的重要参数,新型基于氘的药物可能会在未来几年出现。此外,C-D键比C-H键更短且有时更具抵抗力。
合成路线如下:
图片
12
Gadopiclenol
Gadopiclenol(商品名 Elucirem®)于2022年9月21日获得批准,与磁共振成像 一起用于检测和可视化中枢神经系统和身体血管分布异常的病变。Gadopiclenol是一种大环钆基造影剂 (GBCA),具有高弛豫特性,旨在通过磁共振成像提高病变检测和表征。它由Bracco推出,其合成来源于外消旋谷氨酸。合成路线如下:
图片
13
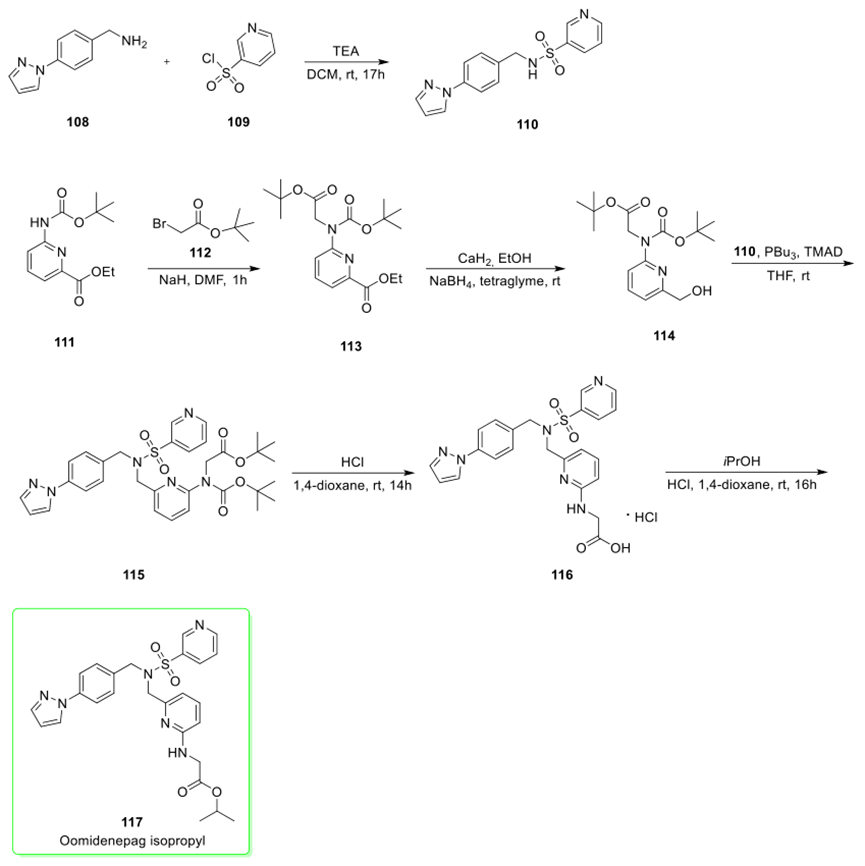
Oomidenepag Isopropyl
Oomidenepag isopropyl(商品名Omlonti®)于2022年9月22日获批,用于降低开角型青光眼或高眼压症患者升高的眼内压。预计2026年全球销售额预测为1.21亿美元。它是一种具有非前列腺素结构的选择性前列腺素E2受体激动剂,由Ube Industries 和 Santen Pharmaceutical 开发。Oomidenepag isopropyl是一种前体药物,可在体内转化为活性形式oomidenepag。合成路线如下:
图片
14
Taurursodiol (in Combination with Sodium Phenylbutyrate)
Taurursodiol(商品名 Relyvrio®)于2022年9月29日批准与苯基丁酸钠联合治疗肌萎缩侧索硬化症 (ALS),Taurursodiol是一种牛磺胆汁酸结合物。预计2026年全球销售额预测为10.95亿美元。组合产品 Relyvrio® 被认为具有协同作用,可以通过同时抑制内质网和线粒体应激来减少神经元死亡。Taurursodiol可从熊去氧胆酸 (118) 中获得。后者天然存在于熊的肝脏和相关食肉动物中。
图片
15
Futibatinib
futibatinib(商品名 Lytgobi®)于 2022年9月30日获批用于治疗携带FGFR2 基因融合或其他重排的肝内胆管癌,futibatinib是一种高度选择性的不可逆成纤维细胞生长因子受体FGFR1-4 抑制剂。合成路线如下:
图片
磺胺类药物反复出现在批准分子中
2022 年批准的分子中出现了四种含磺胺类药物。2021年仅有环磺胺类药物odevixibat(商品名Bylvay®)获批用于治疗瘙痒症,而2020年,FDA未批准任何含磺胺类药物。磺胺类化合物通常作为稳定的内酰胺等价物掺入目标分子中。
历史上,第一种磺胺类药物是prontosil。这种化合物首先由拜耳化学家 Josef Klarer 和 Fritz Mietzsch 合成,作为旨在寻找可在体内充当抗菌药物的染料的研究计划的一部分。后来,磺胺类药物被广泛用作抗菌剂。另一个著名的探索领域是使用磺胺类药物和电子等排物作为金属酶碳酸酐酶抑制剂。此外,磺胺类药物具有高水解稳定性,这一关键特征有助于设计新型生物活性化合物
结束语


本文介绍了 FDA 在2022年批准的所有小分子药物。似乎含磺胺类药物将在 2022 年占据主导地位,有四种分子获批。在发现第一个具有抗菌活性的磺胺类药物多年后,它们的物理化学和药效学特性仍然发挥着重要作用。另一方面,含氘药物 deucravacitinib 代表了药物发现新方法的一个例子,该方法结合了一种不寻常的同位素来提供药物稳定性。用于治疗心肌病的嘧啶二酮 mavacamten 的发现和该分子的巨大预测销售额,强调了在心血管疾病领域寻找新的活性分子的重要性。药物组合,例如vonoprazan(与阿莫西林和克拉霉素联合)和taurursodiol(与苯基丁酸钠联合)仍然是治疗未满足的医学疾病的有效武器。


参考文献:

Benedetto Tiz, D.; Bagnoli, L.; Rosati, O.; Marini, F.; Santi, C.; Sancineto, L. FDA-Approved Small Molecules in 2022: Clinical Uses and Their Synthesis. Pharmaceutics202214, 2538. https://doi.org/10.3390/ pharmaceutics14112538
Hunting for Drugs in Chemical Space. Available online: https://cen.acs.org/pharmaceuticals/drug-discovery/Hunting-drugschemical-space/100/i23


作者:墨竹
编辑人:
服务热线

021-64541543

公司地址

上海市徐汇区嘉川路245号2号楼705-707室

作息时间

9:00-17:30

首页
产品
新闻
联系